题目描述
【题目背景】
两大之间,敌胁以从,我假以势。困,有言不信。
有 $n$ 个国家,编号从 $1\sim n$。第 $i$ 个国家的战斗力为 $a_i$。
国与国之间可能会有道路相连,有 $m$ 条双向道路,第 $i$ 条道路连接了国家 $u_i$ 和 $v_i$。
33DAI 是编号为 $1$ 的国家的国王,他初始拥有 $a_1$ 的战斗力。他可以通过道路移动到直接相连的国家,但有一些规则。如果移动到一个战斗力大于自己战斗力的国家,33DAI 的战斗力就会归零。如果**第一次**移动到一个战斗力小于等于自己战斗力的国家,33DAI 的战斗力就会增加对应的数值。
请你算算 33DAI 最大可以把自己的战斗力变为多大。
输入
第一行两个整数 $n,m$。
第二行 $n$ 个整数 $a_1\sim a_n$。
接下来 $m$ 行,第 $i$ 行为两个整数 $u_i,v_i$。
输出
一个整数,即 33DAI 能达到的最大战斗力。
样例输入输出
输入#1
复制
5 4
1 1 2 3 7
1 2
1 3
2 4
3 5
输入#2
复制
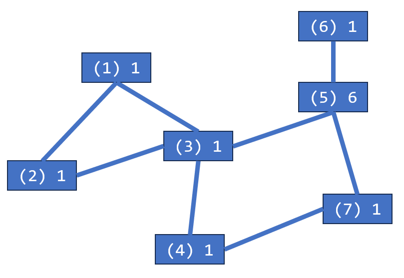
7 8
1 1 1 1 6 1 1
1 2
3 1
4 3
2 3
5 3
5 7
7 4
6 5
提示
【样例2解释】

城市连接成了一条线:`5 <--> 3 <--> 1 <--> 2 <--> 4`。显然可以按照 `1,2,1,3,1,2,4,2,1,3,5` 这样的顺序移动,来得到所有城市的战斗力。
【样例1解释】
显然可以拿到 `1,2,3,4,7` 这些城市的战斗力。
【数据规模与约定】
对于 $100\%$ 的数据,$1 \le n \le 1000$,$0\le m\le \frac{n(n-1)}{2}$,$1\le a_i\le 10^9$,$1\le u_i,v_i\le n$,保证没有重边与自环。
- 子任务 1(10 分):保证 $m=0$。
- 子任务 2(20 分):保证 $u_i=1$。
- 子任务 3(30 分):保证 $m=n-1$ 且 $u_i+1=v_i$。
- 子任务 4(40 分):没有特殊限制。